1. 红黑树定义和基本操作

红黑树是一种二叉查找树,满足如下性质:

  • 性质1:每个节点要么是黑色,要么是红色。
  • 性质2:根节点是黑色。
  • 性质3:每个叶子节点(NIL)是黑色。
  • 性质4:每个红色节点的两个子节点一定都是黑色。
  • 性质5:任意一节点到每个叶子节点的路径都包含数量相同的黑节点。

树中没有键相等的元素。

1.1. 自平衡操作

红黑树在插入和删除节点后可能不满足以上性质,这种情况下需要通过一些操作(及其组合)达到自平衡:

  • 变色:即改变节点的颜色。
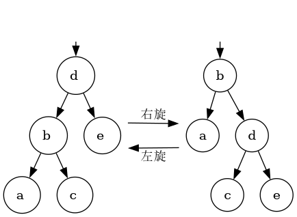
  • 旋转:旋转分为右旋和左旋,两者是对称的,如下图

rotate.png

Figure 1: 二叉树旋转

可以看到旋转有如下性质:

  • 旋转前后仍是二叉查找树,节点顺序不变,都是abcde。
  • 父子关系与高度:
    • 只有bcd的父子指针发生变化;
    • ace可以代表它们的子树,ae及其子树高度有变化;但是通过变色,可以调整ace的黑高度。

2. 插入和删除调整概述

本部分可以先简略看一下,结合后面插入删除的细节来理解。

2.1. 调整策略:

插入或删除后可能导致红黑树性质不满足,就需要进行调整以恢复红黑树的性质。为了简化,我们保证调整前后一直满足性质3和5。

  1. 尽量在一个旋转单元内部进行调整。
  2. 否则,尝试在更大的操作单元完成调整;
  3. 否则,寻找同构的结构,把操作单元上移,从而递归处理。

2.2. 如何调整:

我们最终目的是恢复红黑树的性质,调整结构和染色是手段。旋转是调整结构的一种方式。

  1. 在非递归的情况下,调整后要能满足红黑树的全部性质。具体来说, 操作单元的叶子节点的黑高度和调整前相同,而且叶子节点的颜色不能黑变红(否则可能造成双红)。
  2. 在递归的情况下,新的操作单元要满足调整前的约束(满足性质3和5)。

2.2.1. 使用更大的调整单元:

更大的调整单元意味着更多的节点和更复杂的结构,这使得颜色调整的空间也可以更大。但是单个调整单元要考虑的情况也复杂的多。 实际的插入和删除算法中,除了上面的旋转单元,只用到了下面这种调整单元(实际上相当于两次旋转)。

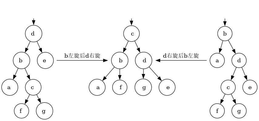
如果考虑满二叉树中三个连续节点(如bcd)的结构,除了上图中的两种情况,还有另一种(下图中间)。这种情况下叶子节点是afge。

rotate-2.png

Figure 2: 三个连续节点的结构变化

3. 查找

查找操作跟普通二叉查找树没有区别。

4. 插入

插入的过程为先通过查找找到要插入的位置,把新插入的节点作为当前节点,然后考虑如下情况:

  1. 不需要平衡的情况
    • 当前节点为根节点(有可能原树是空树,也有可能是2.1)
    • key已存在,直接替换
    • 插入节点的父节点为黑节点,直接插入,当前节点涂红
  2. 父节点为红色,且为祖父节点的左孩子,祖父肯定存在且为黑色。先把当前节点涂红,这样 把需要平衡的情况都归结为双红节点 (不满足性质4)。 插入导致节点增多,平衡时应该让当前节点的路径变短,所以我们找旋转单元时, 让当前节点位于旋转单元的长边。 考虑叔叔节点的颜色
    1. 叔叔为红色(当前节点为a或c类似):这种情况下,无法达成策略1,部分情况可以达成策略2,但考虑的情况太多;因此选择策略3,让根节点变为红色并递归处理。 其他节点的颜色如图所示,这样a c e的黑高度在修改前后都是121。 如果递归后还落在这种情况,最坏时间复杂度为 O(log(n))
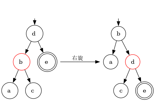
    2. 叔叔为黑色:当前节点a: 这种情况下,如图可以达成策略1,ace的黑高度旋转前后都是122。
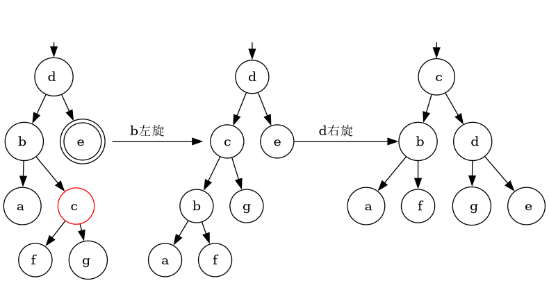
    3. 叔叔为黑色:当前节点c:
      • 这种情况下,无法达成策略1:如图ace的黑高度旋转前后都是212,但是还是有双红节点。
      • 达成策略2:先转换为2.2,需要两次旋转。实际的执行过程如图所示,afge前后的黑高度都是2222。
  3. 与上一种情况对称,父节点为祖父节点的右孩子的情况,不再赘述。

以上插入各情况如图:

insert-1.png

Figure 3: 插入2.1:递归处理

insert-2.png

Figure 4: 插入2.2:策略1, 右旋即可

insert-3.png

Figure 5: 插入2.3:策略1 无法达成

insert-4.png

Figure 6: 插入2.3:两次旋转达成策略2

5. 删除

5.1. 二叉查找树的删除

二叉查找树的删除需要先通过查找找到要删除的节点,要删除的节点(当前节点)分为三种情况:

  1. 叶子节点,直接删除
  2. 只有一个子节点,直接把子树上移
  3. 两个子节点,当前节点的值替换为后继节点,然后递归删除后继节点。最终会转为情况1或2

上面情况3中的后继节点改为前继节点是一样的。

5.2. 红黑树调整前处理

红黑树按照上述二叉查找树的算法删除节点后,可能会造成红黑树性质不满足,需要调整。

我们把情况1归为情况2的特殊情况, 认为叶子节点有一个左子节点,且为黑色。 所以只需要考虑情况2,用v代表要删除的节点,e代表v唯一的子节点。

  v
 /
e

删除v后为了保证性质5(黑高度不变),我们把v的颜色加到e上,即现在e有两个颜色(红+黑/黑+黑)。

注意因为涵盖了情况1,所以e可能是NIL节点。在实现中,对于e,我们只需要处理它的颜色,需要区分处理它是否为NIL的情况。

5.3. 调整

下文中u和v从该状态继续处理(v已被删除,e位于v原来的位置,双颜色)。

5.3.1. 不需要调整的情况

  1. e的颜色是红+黑,直接把颜色改成黑即可。
  2. e的颜色是黑+黑,但它是根节点。直接把颜色设为黑。

5.3.2. 需要调整的情况

本节只列举e为右孩子的情况,e为左孩子的情况与之对称,不再赘述。

需要平衡的情况都归结为双重黑节点,这时候如果直接去掉一重黑色,导致黑高度不相等。 删除导致节点减少,平衡时应该让当前节点的路径变长,所以我们找操作单元时, 让节点e位于操作单元的短边。 然后通过旋转操作让e的路径变长,以达到让多的一重黑色转移到其他节点上的目的。 需要考虑e的兄弟节点和侄子节点

  1. 兄弟节点黑色;侄子节点有红色:
    1. 兄弟节点左孩子红色,右孩子任意:右旋后重新染色可达成策略1。
    2. 兄弟节点左孩子黑色,右孩子红色:策略1无法达成,扩大调整单元达成策略2。
  2. 兄弟节点,侄子节点都是黑色。策略1无法达成;策略2在某些子情况下可达成,但比较复杂,也不一定能达成; 使用策略3,把当前节点和兄弟节点的黑色上移到父节点。这种情况下如果递归到根节点,黑高度会减少。
  3. 兄弟节点为红色:策略1无法达成;策略2情况复杂;策略3旋转着色后变成1或2,继续递归处理。
    • 这种情况下策略3其实不会一直递归下去。如果转化为情况1,有限步数;如果转化为情况2,因为d是红色,也不会一直递归。 这与直观感觉是符合的————兄弟节点有红色,应该可以通过局部调整达到把双黑的额外一重黑色匀出去。 这个策略3本质上还是策略2

下面图中橙色表示节点颜色任意。

delete-1.png

Figure 7: 删除1.1:右旋达成策略1

delete-2.png

Figure 8: 删除1.2:旋转两次达成策略2

delete-3.png

Figure 9: 删除2:递归处理

delete-4.png

Figure 10: 删除3:递归处理,但是只会递归常数次,相当与策略2

6. References